Trends in Immunotherapy

Volume 10, Issue 1 (2026)

Article Article ID: 1377

Macrophage Migration Inhibitory Factor as a Biomarker of Severe Dengue and Shock in Children: A Cross-Sectional Study in Indonesia

Dengue remains a leading cause of child mortality in Indonesia. Identifying reliable biomarkers to predict disease severity is essential for early intervention. Macrophage Migration Inhibitory Factor (MIF) is a pro-inflammatory cytokine involved in the pathogenesis of dengue. This study aimed to assess the relationship between MIF levels and dengue severity in children, and to compare  the predictive value of MIF levels with C-Reactive Protein (CRP) and serum albumin levels. A cross-sectional study was conducted on 104 pediatric dengue patients hospitalized at Saiful Anwar General Hospital. Serum levels of MIF (ELISA), CRP, and albumin were measured upon admission. Patients were categorized into four severity grades (Grade 1–4) and also stratified into shock and non-shock groups. Statistical analyses included ANOVA, correlation analysis, and receiver operating characteristic (ROC) curve evaluation. MIF levels showed a significant stepwise increase with disease severity and were significantly higher in patients with shock (p < 0.001). CRP levels were also elevated in severe dengue, but the correlation with severity was moderate (r = 0.61, p < 0.05). In contrast, serum albumin levels were inversely associated with severity (r = –0.67, p < 0.05), with lower values observed in the shock group. ROC analysis demonstrated that MIF had the highest predictive accuracy for shock (AUC = 0.94), compared to CRP (AUC = 0.78) and albumin (AUC = 0.81). MIF is a robust biomarker for predicting dengue severity and shock in children, outperforming CRP and albumin in diagnostic performance. The integration of MIF with conventional markers may improve early risk stratification and clinical decision-making in pediatric dengue.

Review Article Article ID: 1428

Toll-like Receptors and Periodontitis: Current Insights into Immune Dynamics and Translational Therapeutics

Periodontitis is a common and persistent inflammatory disease resulting from a sophisticated relationship between oral bacteria and the body's immune system. Toll-like receptors (TLRs) act as crucial sensors within the immune response, playing a fundamental role in the disease's initiation and progression. This review examines periodontitis, highlighting the limited understanding of TLR activation mechanisms and the therapeutic potential of TLR inhibitors. The discussion begins with a definition of TLRs, outlining their characteristics, types, distribution, and activation mechanisms. It then details the manifestation of TLRs in periodontitis, including alterations during inflammation and their correlation with disease severity. TLR activity is influenced not only by microbial stimuli but also by epigenetic factors and miRNAs, which mediate gene expression changes linked to inflammation. Various miRNAs have been shown to regulate TLR signaling pathways, thereby modulating the inflammatory response in periodontal tissues. Additionally, epigenetic modifications further complicate the landscape of immune regulation in periodontitis, affecting TLR expression and function. This interplay between TLRs, miRNAs, and epigenetic changes underscores the systemic implications of periodontal disease, contributing to broader health issues. Consequently, the review explores innovative strategies to modulate TLR signaling and discusses future challenges in TLR research in relation to periodontitis treatment. In summary, a more profound understanding of TLR-driven immune responses, along with the regulatory roles of miRNAs and epigenetic factors, is essential for developing targeted therapies and advancing treatment options for periodontitis.

Review Article Article ID: 1229

HFpEF in the Elderly: Exercise-Based Immunomodulatory Interventions and New Strategies

To examine the immunopathological mechanisms underlying heart failure with preserved ejection fraction (HFpEF) in elderly patients and evaluate exercise training as an immunomodulatory intervention for managing disease complications. A narrative literature review was conducted using PubMed, Embase, and Cochrane Library databases (2010–2023), focusing on immune dysfunction, aging, and exercise interventions in HFpEF. HFpEF pathophysiology in elderly patients involves complex interactions between innate and adaptive immunity, characterized by elevated pro-inflammatory cytokines, NLRP3 inflammasome activation, and immune cell dysfunction. Major complications—frailty syndrome, sarcopenia, and malnutrition—share common inflammatory pathways that perpetuate disease progression. Exercise training fundamentally alters this inflammatory profile through multiple mechanisms: suppressing pro-inflammatory cytokine production (TNF-α, IL-1β, IL-6), promoting anti-inflammatory immune cell phenotypes, and enhancing tissue regenerative capacity. Unlike pharmacological interventions targeting single pathways, exercise exerts pleiotropic effects across the immune-inflammatory network, simultaneously addressing cardiac dysfunction and systemic complications. Structured exercise programs effectively interrupt inflammatory cascades, improve functional capacity, and enhance quality of life in elderly HFpEF patients. Exercise training represents a cornerstone intervention that directly targets the fundamental immunopathology of HFpEF. Implementation of specialized exercise-based cardiac rehabilitation programs tailored to elderly patients is urgently needed to optimize clinical outcomes in this growing population.

Article Article ID: 1423

Altitude-Induced Immunological Changes in Experimental Wound Healing

Wound healing is a critical global clinical issue, particularly in surgical and emergency care settings, where infections lead to significant morbidity, extended hospitalization, and increased healthcare costs. This study investigated the impact of altitude deadaptation on immune responses during wound healing in rabbits. Animals with aseptic and purulent wounds were divided into three groups: control (Bishkek), short-term (3-day), and long-term (30-day) high-altitude exposure, followed by descent to Bishkek. Leukocyte profiles and plasma levels of pro-inflammatory interleukin-1 beta (IL-1β) and anti-inflammatory interleukin-10 (IL-10) were analyzed. Short-term high-altitude exposure followed by rapid descent induced a maladaptive immune response characterized by elevated IL-1β levels, peaking at 10.1 ± 0.3 pg/ml on day 1 in aseptic wounds and 31.1 ± 2.5 pg/ml on day 3 in purulent wounds, indicating prolonged inflammation. In contrast, long-term exposure resulted in immune exhaustion, with diminished IL-1β and IL-10 responses. IL-10 levels were disrupted in the short-term exposure group, showing an initial increase followed by a decrease, suggesting inadequate anti-inflammatory effects. Leukocyte counts paralleled cytokine patterns, with initial leukopenia followed by delayed leukocytosis in the short-term exposure group. These findings demonstrate that altitude deadaptation affects immune regulation, inflammation extension, and hinders wound healing.

Article Article ID: 1464

Effects of Combined Iodinated Casein and Selenomethionine Supplementation on Thyroid Function and Immune Regulation in Hypothyroid Rats

Hypothyroidism, characterized by insufficient thyroid hormone production, is frequently associated with iodine deficiency. Selenium is essential for thyroid hormone metabolism and immune regulation. This study examined the effects of iodinated casein and selenomethionine supplementation on thyroid function and immune-inflammatory markers in a rat model of hypothyroidism. Thirty-six male Wistar rats were divided into four groups: control, hypothyroid (induced by thyrozol), hypothyroid rats treated with iodinated casein and selenomethionine, and hypothyroid rats treated with iodinated casein only. After 10 days of supplementation, serum levels of thyroid-stimulating hormone (TSH), triiodothyronine (T3), thyroxine (T4), calcitonin, and cytokines (IL-6, TNF-α, IL-10, IFN-γ) were assessed. Compared to the controls, the hypothyroid group showed elevated TSH levels, decreased T3 and T4 levels, and a pro-inflammatory cytokine profile. Treatment with both iodinated casein and selenomethionine improved TSH levels, partially restored T3 and T4 levels, and normalized cytokine levels, whereas iodinated casein alone was less effective. Calcitonin levels remained unchanged after combined supplementation. These findings suggest that supplementation with both micronutrients is more effective than iodine alone in restoring thyroid hormone balance and modulating immune responses in individuals with hypothyroidism.

Communication Article ID: 1341

Inactivation of Indoor Environmental Allergy-Related Substances by Ozone Gas in a Small Chamber

Allergic diseases are increasingly recognized as a worldwide public health problem, affecting countries at all levels of economic growth. In recent years, it has been proposed that allergic diseases result from excessive type 2 inflammation, which is driven by cooperative interactions between the innate and acquired immune systems. In this model, allergens, pathogen-associated molecular patterns (PAMPs), and proteases would all be considered allergen-associated substances.  In this study, the Japanese ceder allergen Cry j1 and the house dust mite (HDM) allergen Der f1 were selected as representative allergens; lipoteichoic acid (LTA) from Staphylococcus aureus as a PAMP; and V8 protease (V8) from S. aureus, fungal Alternaria extract (Alt), and HDM fecal extract Dff as proteases. The effects of ozone gas on these substances were investigated in terms of allergenicity, proinflammatory activity via innate immunity, and protease activity. Ozone gas inactivated the allergenicity of both Cry j1 and Der f1, and the protease activities of V8, Alt, and Dff, in a CT value (the product of concentration [C] and exposure time [T])-dependent manner. The proinflammatory activity of LTA via innate immunity was significantly inactivated after ozone exposure (301 ppm·min). Although this study was carried out in a small chamber at the basic research level, the results suggest that ozone gas can inactivate indoor allergy-related substances and may help alleviate allergic symptoms. With appropriate safety measures, such as using it in a closed system, this technology has great potential for practical application to allergy management.

Article Article ID: 1416

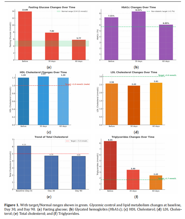
The Effect of Bloodletting Therapy on Lipid Metabolism and Glucose Control in Type 2 Diabetes: A Case Report

Type 2 diabetes mellitus (T2DM) is a pervasive chronic metabolic disorder characterized by insulin resistance and hyperglycemia. While conventional treatments exist, there is groqing interest in complementary and alternative therapies, particularyl for patients with poorly controlled disease. . Among these, bloodletting therapy of Traditional Mongolian medicine (TMM) has historical roots, yet it lacks robust scientific evaluation. This case report presents a 42-year-old male with uncontrolled T2DM and concomitant dyslipidemia, who demonstrated poor adherence to standard glucose-lowering medications. The therapeutic intervention involved a traditional Mongolian medicine protocol, commencing with a 5-day preparatpry regimen of an herbal blood-thinning decoction. This was followed by th bloodletting procedure itself, with no conventional anti-diabetic medications administered during the entire intervention period. This outcomes observed over 90-day follow-up were notably substantial. The patient’s metabolic parameters demonstrated framatic improvements: fasting glucose decreased from 13.89 to 5.77 mmol/L, and glycated hemoglobin (HbA1c) fell from 7.31% to 6.05%. Significant enhancements were also recorded in lipid metabolism, with cholesterol  and triglyceride levels dropping from 6.1 to 4.65 mmol/L and from 8.35 to 2.43 mmol/L), respectively. Furthermore, the patient exhibited considerable reductions in body mass index (from 35.7 to 29.5 kg/m²), and blood pressure (140/90 to 130/85 mmHg), no serious adverse events reported. In conclution, the combination of traditional Mongolian bloodletting and an herbal decoction was associated with clinically meaningful improvements in glycemic control, lipid profile, and overall metabolic balance in this refractory uncontrolled T2DM case. These promising findings suggest potential immunometabolic benefits; however, rigorous controlled studies are imperative to definitively confirm its efficacy, safety, and the underlying mechanisms of action.

Review Article Article ID: 1104

The Umbrella Review of VDR Gene Polymorphism and the Risk of Diabetes and Possible Implications in Immunotherapy

Systematic reviews and meta-analyses investigated VDR gene polymorphism correlations with T1D and T2D outcomes. We reviewed and meta-analyzed all VDR gene polymorphism research, including clinical outcome case-control studies. We conducted a comprehensive review using systematic data analysis to evaluate the association between VDR gene polymorphism and the risk of diabetes. According to the predefined search strategy and selection criteria, the article reporting the correlations of FokI polymorphisms and the risk of T1D included 40 papers (5,406 cases and 7,507 controls). Forty-three papers (10,252 cases and 9466 controls) focused on the associations between the FokI polymorphisms and T2D risk. The articles evaluated 10,252 cases and 9466 controls. Six meta-analyses linked the Fokl gene polymorphism to T1D and T2D. Summaries were nominally significant in 50% of observational meta-analyses. We demonstrated no association between VDR gene polymorphism and T1D risk across different ethnicities. T2D risk was also highly connected to the FokI polymorphism in Asian ethnicity. Gene-environment interactions must be investigated to understand these associations. The FokI polymorphism in the VDR gene has been extensively investigated, but more research is needed to know how VDR SNPs cause DM. Diabetes risk is linked to VDR gene polymorphism in this study. Diabetes risk is linked to the VDR gene polymorphism in this study. More research and well-planned studies are necessary for certainty.

Article Article ID: 1521

Differential Expression of MALAT1 and HOTAIR lncRNAs in Early and Advanced Stage Breast Cancer Patients: Potential Prognostic Biomarkers

Long non-coding RNAs (lncRNAs) have emerged as key regulators of gene expression involved in tumor initiation, progression, and metastasis. Among them, HOTAIR (HOX Transcript Antisense Intergenic RNA) and MALAT1 (Metastasis-Associated Lung Adenocarcinoma Transcript 1) have been implicated in several cancers, including breast cancer. However, their stage-specific expression patterns and prognostic relevance in breast cancer remain underexplored. This study aimed to evaluate the differential expression of HOTAIR and MALAT1 in early-stage (I–II) and late-stage (III–IV) breast cancers and to assess their association with clinicopathological and demographic parameters to determine their potential as prognostic biomarkers. Eighty breast cancer samples were analyzed for HOTAIR and MALAT1 expression using qRT-PCR. Clinicopathological data, including age, menopausal status, lymph node involvement, and hormone receptor status (ER, PR, HER2/neu), were collected. Logistic regression, ROC curve, and univariate analyses assessed their diagnostic and predictive significance. HOTAIR expression was significantly upregulated in late-stage (III–IV) breast cancer compared with early-stage (I–II) cases (p < 0.05), showing strong association with lymph node metastasis, postmenopausal status, and receptor negativity. ROC analysis demonstrated HOTAIR’s predictive potential with an AUC of 0.73 (sensitivity: 64%; specificity: 86%). MALAT1 expression was non-significantly elevated in late-stage tumors. Logistic regression analysis we observed that overexpression of HOTAIR, lymph node involvement, and hormone receptor negativity as increases disease risk. The findings indicate that HOTAIR over expression serves as a potential prognostic biomarker for breast cancer at late stage and associated with clinicopathological features and disease progression.

Article Article ID: 1493

The Effect of Vitamin D₃ Supplementation on Diarrhea Frequency, Duration, and Neutrophil-to-Lymphocyte Ratio (NLR) in Children with Diarrhea

Diarrhea remains a major cause of morbidity in children under five, and although current management is mainly supportive, Vitamin D₃ supplementation has emerged as a potential immunomodulatory approach whose clinical efficacy requires further clarification. This study aimed to evaluate the effect of Vitamin D₃ supplementation on clinical outcomes, specifically diarrhea frequency, duration, and neutrophil-to-lymphocyte ratio (NLR) in children with acute diarrhea. This single-blind, randomized controlled trial employed a pre-post test control group design involving 34 pediatric patients with diarrhea. Participants were allocated into two groups: one receiving standard therapy alone (control) and the other receiving standard therapy plus oral Vitamin D₃ supplementation for 14 days. Outcome measures included diarrhea frequency, duration, and neutrophil-to-lymphocyte ratio (NLR), evaluated pre-post intervention. Post-intervention analysis showed significant improvements in the intervention group compared to controls: shortened diarrhea duration (p = 0.002), reduced diarrhea frequency (p = 0.000), but no significant with NLR reduction (p = 0.124); however, the median delta NLR decreased more in the Vitamin D₃ group (−2.57) than in the control group (−0.13) (p = 0.031). No significant differences in dehydration status were observed between groups (p = 1.000). The intervention group also exhibited a marked increase in serum 25(OH)D levels post-supplementation (p = 0.000). However, after adjusting for baseline NLR using ANCOVA, the reduction was no longer directly attributable to the intervention (p = 0.09), though a strong trend favoring the Vitamin D group persisted. Vitamin D₃ supplementation may serve as an adjunctive immunotherapy, as it demonstrated beneficial effects on clinical outcomes in pediatric diarrhea, suggesting its potential through anti-inflammatory and immunomodulatory properties.

Article Article ID: 1672

ANA Serum in a Non-Human Primate (Macaca fascicularis) Model of Systemic Lupus Erythematosus Induced by Pristane

Systemic Lupus Erythematosus (SLE) is a chronic autoimmune disease characterized by the production of antinuclear antibodies (ANA). While murine models are widely used for lupus research, their translational value is limited by physiological differences. Macaca fascicularis, a non-human primate, offers a closer model due to its genetic and immunological similarities to humans. Pristane (2,6,10,14-tetramethylpentadecane), a hydrocarbon oil, can induce lupus-like manifestations, including ANA production, but evidence in Macaca fascicularis remains scarce. This study assessed ANA titers following pristane induction in seven macaques, with one serving as a negative control. A single intraperitoneal dose of pristane (5 mL/kg) was administered, and ANA titers were evaluated biweekly using ELISA. ANA seropositivity (titer ≥1:80) was first detected at week 4, increasing to four macaques by week 8 and persisting at four positives in week 10. The duration of ANA positivity varied across individuals, ranging from a single week to continuous six-week responses, with one showing a biphasic pattern. The control macaque remained negative throughout. Clinical observations included alopecia, weight loss, lymphopenia, hematuria, and proteinuria in ANA-positive animals. In conclusion, pristane induced measurable autoimmunity in Macaca fascicularis, supporting its utility as a translational model for lupus research and preclinical testing of therapeutic interventions.

Article Article ID: 1401

AI Drives Optimization of Delivery Systems Engineered for Precise and Effective Immune-Based Solutions

In oncology, the development of intelligent, biocompatible nanocarriers is pivotal for advancing targeted immunotherapy. This study presents a protein-binding immunotherapy model that leverages targeted immune proteins, such as interleukins, interferons, and checkpoint inhibitors, integrated with a drug delivery system (DDS). The proposed Zn²⁺-glutamic acid (Glu) nanocarrier, optimized via the AI-based DeepChem platform, demonstrated strong therapeutic potential for cancer treatment. Computational analysis revealed high coordination stability of the Zn²⁺-Glu complex (binding energy: −42.8 kcal/mol) and notable protein-binding affinity to interleukin-2 (IL-2) (7.9 ± 0.3 pKd) using a graph convolutional network model. The nanocarrier achieved efficient protein encapsulation (85.6 ± 2.2%), pH-sensitive release (68.4 ± 1.7% at pH 6.5 over 12 h), and favorable solubility (log S = −1.8). Non-toxicity prediction indicated 92% safety with a ROC-AUC of 0.89. Immunological assays showed a 3.5-fold increase in CD8⁺ T-cell activity, with nanoparticle stability confirmed by a zeta potential of −22.5 mV and PDI of 0.18. Additional benefits included fluorescence traceability at 650 nm and a 2.3-fold increase in systemic half-life, supporting its theranostic capability. Importantly, the Zn²⁺-Glu platform exhibited immunomodulatory and anti-inflammatory properties, suggesting potential to enhance chemotherapy tolerance by reducing systemic inflammation and minimizing immune-related adverse effects. Integrating bioactive components, such as Moringa Leaf Extract (MLE), could further enhance immune cell function while mitigating chemotherapy-induced immunotoxicity. Overall, the Zn²⁺-Glu nanocomposite offers a scalable, non-toxic, and site-specific DDS, positioning it as a promising next-generation protein-derived immunotherapeutic agent.

Article Article ID: 1801

Regulatory Effects of Fecal Microbiota Transplantation on Inflammatory Cytokines in a DSS-Induced Colitis Mouse Model

Ulcerative colitis (UC) is an immune-mediated inflammatory disease characterized by excessive pro-inflammatory cytokine activity and impaired immune regulation. Fecal microbiota transplantation (FMT) has emerged as a microbiome-based immunotherapeutic approach, yet its effects on systemic immune responses in UC remain incompletely understood. This study examined the immunomodulatory impact of FMT in a dextran sulfate sodium (DSS)–induced murine model of colitis. Forty-five male C57BL/6 mice were randomly assigned to control, DSS model, and FMT-treated groups (n = 15 per group). Colitis was induced with 3% DSS for seven days, followed by a seven-day intragastric administration of fecal suspension in the FMT group. Clinical disease activity, gross colonic morphology, and serum cytokine levels were assessed. DSS exposure resulted in pronounced colitis, evidenced by weight loss, elevated disease activity index scores, and macroscopic colonic injury. FMT significantly alleviated disease severity, improved body weight recovery, reduced disease activity, and partially restored colon length. Furthermore, FMT markedly reduced circulating pro-inflammatory cytokines (TNF-α, IL-6, and IL-1β) while increasing the levels of anti-inflammatory cytokines IL-4 and IL-10 (all p < 0.01). These findings suggest that FMT attenuates DSS-induced colitis and promotes a systemic shift toward an anti-inflammatory immune profile. Study limitations include the absence of quantitative histopathological scoring and immune-cell phenotyping. Further mechanistic studies are warranted to elucidate the immunological pathways underlying FMT-mediated protection in UC.

Review Article Article ID: 1105

The Usage and Limitations of Gene Therapy Versus Stem Cell Therapy for Myotonic Dystrophy Type 1 (DM1): Special Focus on Immune Response

Muscular dystrophies include myotonic dystrophy (MD). Although there is no cure for this disorder, many treatments can manage symptoms and reduce disease development. Standard pharmacological treatments and rehabilitation methods have largely failed, prompting researchers to investigate stem cell and gene therapy options. This review will discuss gene therapy and stem cell therapy as adjuvant therapies for MD, including their benefits, drawbacks, and timeline for implementation. We searched PubMed, Scopus, Web of Science (WOS), Cochrane Library, and Embase from 1980 to 2024 for preclinical and clinical gene therapy papers for MD using keywords such as "myotonic dystrophy" and "gene therapy." A search for "myotonic dystrophy" and "Stem Cell" yielded studies on stem cell treatment for MD. The initial search found 50 gene therapy and 38 stem cell research articles. Following our exclusion and filtering criteria, we deleted 31 articles on gene therapy and 23 articles on stem cells. We found 19 gene therapy publications and 15 stem cell-based publications. Antisense oligonucleotides (ASO), CRISPR technology, and AAV vectors have become the most popular methods. Induced pluripotent stem cells (iPSCs) and muscle-derived progenitor cells (MuSCs) were important cellular sources for investigation or application. Most research focuses on myotonic dystrophy type I (DM1). It is widely established that AAV vector-induced immune responses can affect the safety and efficacy of genetic therapy. Specific stem cells may also modulate MD patients' immunological responses, improving prognosis. Using cytokines and monoclonal antibodies as adjuvants to treat this complex illness is becoming more common.

Article Article ID: 2084

Autologous Hair Follicle Transplantation Combined with NB-UVB Phototherapy for Stable Pubic Vitiligo: A Randomized Controlled Trial

The challenge in the management of pubic vitiligo lies in the sensitive nature of the area and the relatively lower efficacy of the existing management approaches. This study aimed to evaluate the efficacy and safety of autologous hair follicle transplantation combined with narrow-band ultraviolet B (NB-UVB) phototherapy for stable pubic vitiligo. Sixty-eight patients were randomly assigned (1:1) to either a combination treatment (hair follicle transplantation followed by NB-UVB phototherapy) or to the control group with only NB-UVB phototherapy for 24 weeks. The key outcome measure was the repigmentation area, as estimated using the Vitiligo Area Scoring Index. The histopathological examination was also carried out on a sample of 40 patients. The combination therapy group demonstrated significantly higher repigmentation rates (68.4% versus 42.3%, p < 0.001). The effective response rate (≥50% repigmentation) was 80.6% versus 43.3% (p = 0.003). The onset of repigmentation occurred earlier in the combination group (4.2 versus 7.6 weeks, p < 0.001), where there was perifollicular repigmentation in 83.9% of patients. Histopathological examination revealed that there was a greater increase in the density of melanocytes (10.4 versus 4.8 cells/mm, p < 0.001) and a greater reduction in the density of CD8+ T cells in the combination group. Patient satisfaction was significantly higher among the combination group (87.1% versus 53.3%, p = 0.004). Tolerance of these two treatments is excellent, and there were no serious adverse events. This combination of hair follicle transplantation and NB-UVB appears to have a synergistic effect, as it offers an intact melanocyte reservoir and an immune microenvironment, and it may be a promising treatment approach for pubic vitiligo.

Research Article Article ID: 2243

Systemic Immune-Inflammation Index and Depressive Symptoms in US Adults: Implications for Immunomodulatory Interventions—A Cross-Sectional Study from NHANES 2005–2020

Inflammatory responses play a crucial role in the pathogenesis of depression. The Systemic Immune Inflammatory Index (SII) is a novel composite inflammatory marker that integrates the counts of neutrophils, lymphocytes, and platelets. However, the relationship between it and depressive symptoms is still not very clear at present. This exploratory study conducted in this article aims to investigate the relationship between SII and other immune inflammatory markers, such as the neutrophil-to-lymphocyte ratio (NLR), platelet-to-lymphocyte ratio (PLR), monocyte-to-lymphocyte ratio (MLR), and depressive symptoms. This can provide some epidemiological evidence for intervening in mental health through immune regulation. Data from the National Health and Nutrition Examination Survey (NHANES) 2005–2020, which included 32,683 adults 18 years of age and older, were used in this exploratory cross-sectional analysis. Because this study generated hypotheses, subgroup and sensitivity analyses were carried out, restricted cubic spline (RCS) analysis was utilized to investigate dose-response relationships, and weighted multivariable logistic regression was utilized to evaluate association strength. The highest quartile of SII was significantly associated with elevated depression risk (odds ratio (OR) = 1.23, 95% confidence interval (CI): 1.05–1.44, p for trend = 0.008), with a J-shaped dose-response relationship. The association was stronger among participants with diabetes (OR = 1.56, p for interaction = 0.038). NLR showed a borderline association, while PLR and MLR demonstrated no significant associations. SII was independently and positively associated with depressive symptoms and may serve as a potential biomarker for depression risk stratification, with implications for developing immunomodulatory intervention strategies.